English中文(简体)FrançaisEspañolالعربيةРусскийPortuguês

Связаться с нами

  • Guangdong Unique Flavor Co., Ltd.
  • +86 18929267983info@cuiguai.com
  • Комната 701, здание C, № 16, Восточная 1 -я дорога, Биньонг Нэнг, город Даоджо, город Дунгуан, провинция Гуандун
  • Получите образцы сейчас

    Практическая модель оценки риска для ароматизаторов для вейпов

    Автор:Научно-исследовательская группа, CUIGUAI Flavoring

    Опубликовано:Guangdong Unique Flavor Co., Ltd.

    Последнее обновление:5 ноября 2025 г.

    Профессиональная лабораторная сцена, изображающая технических специалистов, проводящих оценку рисков, связанных с жидкостью для электронных сигарет или ароматизаторами для вейпов, с использованием современных инструментов ГХ-МС или ЖХ-МС. Изображение подчеркивает научную достоверность флаконов, аналитических экранов и пипеток, подчеркивая аналитическую точность и безопасность при разработке продуктов для вейпов.

    Лаборатория оценки рисков, связанных с ароматизаторами вейпов

    Введение

    Будучи специализированным производителем высококачественных ароматизирующих смесей для электронных жидкостей, мы в [Ваша компания] осознаем, что глобальная нормативная, токсикологическая ситуация и ситуация с безопасностью продуктов для ароматизаторов для вейпов требуют надежной и действенной модели оценки рисков. Этот пост в блоге—«Практическая модель оценки риска для ароматизаторов для вейпов»- создан с полным пониманием намерений пользователей и обеспечивает четкое, авторитетное и структурированное изложение того, как производители ароматизаторов и производители жидкостей для электронных сигарет могут интегрировать оценку рисков в свои рабочие процессы разработки, производство, соответствующее требованиям, и внутреннее принятие решений.

    Наша цель: дать вам возможность (независимо от того, являетесь ли вы поставщиком ароматизаторов, блендером жидкостей для электронных сигарет или последующим OEM-производителем) внедрить прагматичную, научно обоснованную модель рисков для ароматизирующих ингредиентов, особенно для использования в жидкостях для электронных сигарет, включая проверку, выявление опасностей, оценку воздействия, характеристику рисков, смягчение последствий и анализ жизненного цикла.

    Поскольку мы также производим и поставляем ароматические смеси (в том числе специальные ароматизаторы для вейпов), мы верим в прозрачность, активное соблюдение требований и постоянное совершенствование. Мы надеемся, что этот пост послужит краеугольным ресурсом для ваших технических команд и партнеров по цепочке поставок.

    Ниже мы рассмотрим полную шестиэтапную модель: 1) структура и объем, 2) идентификация опасностей, 3) оценка подверженности, 4) характеристика риска, 5) стратегии смягчения и контроля и 6) обзор и постоянный мониторинг. Попутно мы обращаемся к ключевым нормативно-правовым базам, рецензируемой литературе и передовому опыту со ссылками на заслуживающие доверия источники. В конце вы также получите призыв к действию для технического обмена или обсуждения бесплатных образцов.

    1. Разработка модели оценки рисков: объем, цель и контекст

    Прежде чем углубляться в списки опасностей или токсикологические анализы, первым делом необходимо определитьпочемуэта модель существует,чтооно охватывает,ВОЗиспользует его, икакон интегрируется в жизненный цикл разработки ароматизаторов.

    1.1 Зачем нужна модель оценки риска для ароматизаторов в жидкостях для электронных сигарет

    • Жидкости для электронных сигарет и ароматизаторы для вейпов представляют собой уникальные проблемы: воздействие при вдыхании (а не только при проглатывании), сложные смеси, термическое образование новых соединений и постоянно развивающееся нормативное регулирование.
    • Нормативно-правовая база в основных юрисдикциях (таких как Управление по контролю за продуктами и лекарствами США) уделяет особое внимание контролю ингредиентов, безопасности ароматизаторов и проверке компонентов.
    • Академическая и отраслевая литература показывает, что ароматизирующие химические вещества — даже те, которые «общепризнаны безопасными» для приема внутрь — могут представлять опасность при аэрозольном вдыхании или в сочетании с другими веществами.
    • Как поставщик ароматизаторов, вы обязаны не только создавать желаемые ощущения, но и обеспечивать безопасность продукции, соответствие нормативным требованиям, прозрачность цепочки поставок и готовность к выходу на рынок. Эта систематическая модель поможет вам принимать обоснованные решения и документировать результаты комплексной проверки.

    1.2 Что охватывает модель

    Эта модель оценки риска рассматриваетвкусовые ингредиентыиспользуется при производстве жидкостей для электронных сигарет (или других аэрозольных применениях). Это делаетнетбатареи устройств, нагревательные катушки, механические неисправности упаковки или неправильное поведение потребителей (хотя мы отмечаем это вскользь). Вместо этого модель концентрируется на:

    • химические ароматизаторы (и смеси), используемые в жидкостях для электронных сигарет
    • их потенциальная опасность (собственная токсичность, риск при вдыхании, термическое разложение)
    • сценарии воздействия (ингаляционная доза, хроническое использование, срок службы продукта)
    • снижение рисков (разработка рецептуры, контроль чистоты, предварительная проверка)
    • постоянный мониторинг, включая изменения в цепочке поставок или новые нормативные данные.

    1.3 Кто использует модель и как ее интегрировать

    Вы должны убедиться, что следующие внутренние заинтересованные стороны согласованы: химики-разработчики, группы исследований и разработок ароматизаторов, сотрудники по регулированию и соблюдению требований, сотрудники по обеспечению/контролю качества (QA/QC) и закупки в цепочке поставок. Модель должна интегрироваться в рабочий процесс разработки вкуса следующим образом:

    • На этапе разработки концепции вкуса и проверки: первоначальный анализ опасностей
    • При выборе рецептуры: моделирование воздействия и характеристика риска
    • Предварительный запуск: контрольный список мер по смягчению последствий, документация по средствам контроля.
    • После запуска: обзор новых данных, отчеты потребителей, обновления нормативных требований.

    Разработав эту модель на ранней стадии, вы создаете повторяемые, проверяемые шаги, которые могут помочь при подаче нормативных документов, аудите клиентов и внутренних системах качества.

    2. Идентификация опасностей: признание потенциального вреда

    После того, как область действия определена, следующим шагом будетвыявлять опасностисвязан с ароматизирующими ингредиентами, используемыми в вейп-приложениях. Это означает каталогизацию того, что может пойти не так, даже если вероятность невелика, и документирование внутренней токсичности или других опасных свойств.

    2.1 Что такое идентификация опасностей?

    При оценке токсикологического риска идентификация опасности включает в себя вопросы:какие ароматизаторымощьпричинить вредподкакие условия? Этот шаг не зависит от воздействия. Он фокусируется навнутренние свойствавеществ: например, цитотоксичность, респираторная сенсибилизация, ингаляционная токсичность, термическое разложение с образованием вредных побочных продуктов.

    Для вдыхаемых аэрозолей (в отличие от проглатывания) этап выявления опасности должен отражать путь воздействия. Многие ароматизаторы имеют статус безопасных для пищевых продуктов (например, GRAS в США), но это не так.нетавтоматически приравнивается к безопасности при вдыхании.

    2.2 Основные категории опасности ароматизаторов в жидкостях для электронных сигарет

    Некоторые из основных категорий опасностей, которые следует учитывать:

    • Респираторная токсичность: Некоторые химические ароматизаторы, особенно диацетил и 2,3-пентандион (используется в маслянистых/печеных нотах), связаны с повреждением легких при профессиональном вдыхании.
    • Цитотоксичность/клеточные эффекты: Недавние исследования показывают, что ароматизирующие химические вещества могут снижать жизнеспособность клеток или вызывать окислительный стресс при распылении или воздействии in vitro на эпителиальные клетки легких.
    • Сенсибилизация/аллергенность: Некоторые альдегиды или ароматизирующие вещества, полученные из эфирных масел, могут вызывать респираторную сенсибилизацию или реакции при контакте с кожей.
    • Побочные продукты термического разложения: При нагревании жидкости для электронных сигарет в устройстве ароматизирующие соединения могут разлагаться или вступать в реакцию с образованием новых побочных продуктов (например, альдегидов) с более высокой токсичностью.
    • Чистота и загрязнения: Примеси, изомерные формы, ароматизаторы непищевого качества или непреднамеренные следовые примеси (например, тяжелые металлы в растворителях) становятся опасными факторами. Например, оценка опасности в Новой Зеландии показала, что ароматизаторы могут быть привлекательными для детей и тем самым повышать риск проглатывания.
    • Эффекты смеси: Хотя каждый вкусоароматический ингредиент может иметь приемлемый профиль опасности по отдельности, совокупный эффект (особенно при нагревании и вдыхании) может различаться; необходимо учитывать синергию или кумулятивный эффект.

    2.3 Документирование информации об опасностях

    Для каждого вкусоароматического ингредиента (или вкусоароматической смеси) создайте досье опасности, включающее:

    • Химическое название, номер CAS, поставщик-источник, степень чистоты
    • Концентрация предполагаемого использования (в жидкости для электронных сигарет) и функциональная роль (например, фруктовая верхняя нота)
    • Доступные токсикологические данные: ингаляционная токсичность, раздражение кожи/глаз, респираторная сенсибилизация, исследования цитотоксичности, данные о термическом разложении.
    • Статус пищевой безопасности (например, GRAS, FGE) и любые предостережения относительно пути вдыхания
    • Известные или потенциальные признаки опасности (например, дикетоны, альдегиды, галогенированные ароматические соединения)
    • Термическое поведение/температура кипения/поведение при испарении, если известно
    • Любые предупреждения регулирующих органов или членство в запрещенном списке (например, ароматизаторы, запрещенные в определенных юрисдикциях)

    К концу идентификации опасности вы должны четко указать, какие ингредиенты являются опасными.вызывающий большую озабоченность, умеренная озабоченность, илималозаботныйс точки зрения опасности. Эта классификация будет учитываться при определении подверженности и рисках.

    3. Оценка воздействия: сколько, как часто и как?

    После выявления опасностей возникает следующий вопрос:какова фактическая экспозицияэтой опасности? В контексте ароматизаторов для вейпов моделирование воздействия должно отражать вдыхание, но может также учитывать случайное проглатывание (осмотр детьми), контакт с кожей и неправильное использование устройства.

    3.1 Определение сценариев воздействия

    Важные пути и сценарии воздействия ароматизаторов жидкостей для электронных сигарет включают:

    • Предусмотренное вдыхание пользователями продукта: Регулярное использование жидкости для электронных сигарет в виде пара; количество затяжек, затяжек в день, концентрация вкусоароматического соединения в жидкости для электронных сигарет.
    • Хроническое воздействие со стороны одного и того же пользователя: Повторное ежедневное использование в течение недель/месяцев; ароматизаторы, которые накапливаются или разлагаются на вторичные соединения.
    • Случайное проглатывание (особенно воздействие на детей): Ароматизирующие химические вещества могут повысить привлекательность жидкости для электронных сигарет для детей; воздействие при приеме внутрь требует моделирования (например, мг/кг массы тела).
    • Воздействие на кожу или утечка: Контакт кожи с жидкостью для электронных сигарет или концентратом ароматизаторов (особенно смесями ароматизаторов с высокой концентрацией).
    • Термическое образование/воздействие побочных продуктов: Воздействие продуктов разложения (например, реактивных альдегидов), образующихся во время использования устройства.
    • Профессиональное воздействие (производственная среда): Персонал лаборатории/производства при вдыхании или попадании на кожу концентратов и аэрозольных ароматизаторов.

    3.2 Количественная оценка воздействия – ключевые параметры

    Чтобы выполнить количественную (или полуколичественную) оценку воздействия, соберите следующие параметры:

    • Концентрация (С)содержание ароматизатора в жидкости для электронных сигарет (мг/мл или мг/кг)
    • Объем (В)количество жидкости для электронных сигарет, потребляемой или распыляемой в виде аэрозоля за сеанс или в день (мл/день)
    • Коэффициент ингаляции/фракция осаждения: какая часть ароматизирующего соединения становится аэрозолем и вдыхается, а какая доля теряется в устройстве, удержании и т. д.
    • Абсорбция/биодоступностьдля ингаляционного пути (часто ограниченные данные)
    • Масса тела (ВТ)пользователя (для моделирования воздействия мг/кг)
    • Продолжительность и частота: количество затяжек/день или дней/год
    • Коэффициент термического преобразования: коэффициент, учитывающий образование продуктов разложения (при наличии данных)

    Типичный расчет воздействия (при проглатывании или вдыхании) может быть следующим:

    Где Fabs — фракция поглощения. Эта основа задокументирована в новозеландской оценке опасности жидкостей для электронных сигарет.

    3.3 Практический пример: моделирование воздействия при вдыхании

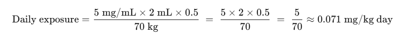
    Let’s say you are formulating a blend where flavouring component X is used at 5 mg/mL in the e-liquid. A typical user consumes 2 mL/day of that e-liquid. Assuming an inhalation absorption fraction of, say, 50% (0.5), and body-weight of 70 kg:

    Затем вы сравниваете это значение с эталонным значением (например, скорректированным уровнем отсутствия наблюдаемых побочных эффектов (NOAEL)) из токсикологии, чтобы увидеть пределы воздействия.

    3.4 Особенности ароматизаторов и маршрута аэрозоля

    • Во многих случаях данные по ингаляционной токсикологии конкретных ароматизирующих соединений отсутствуют; вы можете полагаться на суррогатные данные или данные о приеме пищи (с оговорками).
    • Термические эффекты могут привести к образованию новых соединений; вы должны оценить, стабилен ли оригинальный ароматизатор в условиях парения (например, температура, тип спирали, матрица-носитель).
    • Совокупное воздействие: некоторые ароматизаторы могут иметь аддитивный эффект или иметь общие метаболические пути, поэтому моделирование воздействия должно учитывать общую вкусовую нагрузку, а не только одно соединение.
    • Потребительская вариативность: у разных пользователей разные профили затяжек, типы устройств, настройки мощности; поэтому моделирование сценариев должно включать «типичного пользователя», «пользователя высокого уровня» и «пользователя наихудшего случая».
    • Восприимчивые группы населения: дети, беременные женщины (если применимо), люди с заболеваниями легких могут иметь измененную абсорбцию/реакцию — задокументируйте, предназначен ли ваш продукт только для взрослых и как вы с этим справляетесь.

    4Характеристика риска: объединение опасностей и подверженности

    Четкая схема процесса, иллюстрирующая шестиэтапный рабочий процесс оценки рисков для оценки безопасности ароматизаторов для вейпов. Эта визуальная структура охватывает объем, выявление опасностей, оценку воздействия, характеристику рисков, смягчение и контроль, а также обзор и мониторинг, предоставляя комплексное руководство для специалистов по безопасности и исследователей в индустрии электронных сигарет.

    Шестиэтапная модель оценки рисков

    После идентификации опасности и оценки воздействия мы переходим к характеристике риска: процессу оценкивероятностьитяжестьнеблагоприятных последствий при определенных сценариях воздействия, а затем определение того, является ли риск приемлемым, терпимым (с контролем) или неприемлемым.

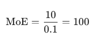
    4.1 Предел риска (MoE) и другие показатели

    Распространенной метрикой риска является предел риска (MoE):

    Высокий показатель MoE предполагает меньший риск; низкий MoE (например, < 100 или < 10, в зависимости от неопределенности) предполагает более высокий риск и может привести к смягчению последствий.

    Поскольку данные о вдыхании часто ограничены, вам может потребоваться применить дополнительные коэффициенты неопределенности (UF). Например, если у вас есть только оральный NOAEL, примените ингаляционную конверсию, межвидовую УФ, УФ базы данных и т. д.

    4.2 Критерии принятия решения: приемлемое, контролируемое или неприемлемое

    Определите внутренние пороги:

    • Приемлемый риск: MoE выше внутреннего порога, признаки опасности не выявлены, воздействие значительно ниже контрольного уровня. Приступайте к использованию.
    • Контролируемый риск: MoE близок к пороговому значению или умеренно низкий; присутствуют флажки опасности; продолжайте только контрольные мероприятия (более низкая концентрация, альтернативный ароматизатор, ограничение конечного использования, усиленный контроль качества).
    • Неприемлемый риск: MoE слишком низкий, опасность сильно отмечена (например, известный легочный сенсибилизатор), невозможность смягчения последствий; отклонить ингредиент или изменить формулировку.

    4.3 Пример характеристики риска для вкусоароматического ингредиента

    Предположим, что ароматизирующее соединение Y имеет NOAEL для вдыхания грызунами в дозе 10 мг/кг в день. Вы оцениваете ежедневное воздействие на человека в 0,1 мг/кг в день (с помощью моделирования дозы для пользователя). Затем:

    Если ваш внутренний порог для ароматизаторов, используемых в вейпинге, составляет MoE ≥ 300 (поскольку путь вдыхания, изменчивость потребителя, долгосрочное использование, неопределенность трансформации аэрозоля), то MoE = 100 вызывает «контролируемый риск»: вы можете согласиться на использование только в том случае, если снизите концентрацию, добавите дополнительные средства контроля или выберете менее рискованную альтернативу.

    4.4 Дополнительные факторы, которые следует учитывать при характеристике

    • Совокупное воздействиек множеству ароматизаторов одного и того же класса опасности (например, множественным альдегидам)
    • Образование побочных продуктов: Ароматизатор может деградировать при нагревании до более опасного химического вещества; Если вы знаете, что ароматизатор образует неприемлемые побочные продукты, риск может возрасти, даже если исходный MoE является приемлемым.
    • Влияние устройства: Настройки мощности, сопротивление катушки, соотношение носителя жидкости для электронных сигарет (PG/VG) могут влиять на профиль аэрозоля и дозу при вдыхании.
    • Изменчивость пользователей и неправильное использование: Чрезмерное затяжное дыхание, глубокое вдыхание, использование субомных устройств могут увеличить воздействие.
    • Уязвимые группы населения: Если ваш продукт используется людьми с респираторными заболеваниями или постоянными потребителями в течение длительного времени, вы можете установить более консервативные пороговые значения.

    4.5 Краткое описание рабочего процесса описания рисков

    • Для каждого кандидата на вкус рассчитайте предполагаемое воздействие при определенных сценариях (типичный, с интенсивным использованием).
    • Сравните воздействие с эталонными токсикологическими значениями; вычислить MoE или эквивалентную метрику.
    • Отметить опасения по поводу опасности: известный сенсибилизатор, присутствие дикетонов, риск термического разложения.
    • Классифицируйте риск как приемлемый/контролируемый/недопустимый.
    • Задокументируйте обоснование решения и необходимые меры контроля (если таковые имеются).
    • Обратная связь при принятии решений по рецептуре (снижение концентрации, изменение вкуса, корректировка управления устройством) и документации цепочки поставок.

    5. Смягчение и контроль: стратегии снижения и управления рисками

    Охарактеризовав риск, следующим практическим шагом будет его смягчение и контроль. Именно здесь дизайнеры вкусов, производители и последующие производители жидкостей для электронных сигарет могут реализовать конкретные шаги для снижения вероятности или серьезности побочных эффектов, а также для обеспечения нормативной и рыночной готовности.

    5.1 Упреждающий контроль состава

    • Выбирайте альтернативы вкусам с меньшим риском: Если кандидатный ароматизатор содержит дикетоны (например, диацетил) или известные альдегиды, сенсибилизирующие дыхательные пути, выберите альтернативу с меньшим количеством пометок об опасности. Например, в некоторой литературе предлагается ограничить список ароматизаторов для вейп-приложений.
    • Предельная концентрация: Используйте только минимальную функциональную концентрацию, необходимую для достижения сенсорной цели, а не максимизируйте вкусовую нагрузку.
    • Охарактеризовать термическую стабильность: Оценить, как ведет себя ароматизатор при нагревании (температура, соответствующая устройству) и не образуются ли вредные побочные продукты; рассмотрите возможность проверки с помощью ГХ-МС или другого анализа.
    • Оптимизация оператора связи: Учитывайте, что соотношение PG/VG, другие добавки (соли никотина, подкислители) могут влиять на аэрозолизацию и химическую реактивность; совместный дизайн вкусовой смеси соответственно.

    5.2 Производственный контроль и обеспечение качества

    • Используйте ингредиенты со вкусом или паром.: Обеспечить высочайшую чистоту и минимальный уровень примесей; мониторинг тяжелых металлов, остаточных растворителей, нежелательных изомеров.
    • Аудит и документация поставщиков: Проведите проверку MRL (максимального предела остатков), сертификата анализа (CoA), отслеживаемости ароматизирующих химических веществ.
    • Пакетное тестирование и стабильность: Убедитесь, что вкусовые характеристики и профиль безопасности остаются стабильными в течение всего срока годности (хранение, свет, нагревание).
    • Проверка совместимости устройства: Хотя ответственность в первую очередь лежит на производителе устройства, убедитесь, что ваша вкусовая смесь протестирована на типичных устройствах для проверки аэрозольного профиля и отсутствия вредных побочных продуктов.

    5.3 Маркировка, инструкции для пользователя и руководство по конечному использованию

    • Четко укажите предполагаемое использование (например, «только для взрослых»), пределы концентрации, рекомендации по хранению (в недоступном для детей месте) и предупреждения о совместимости (тип катушки, настройки мощности).
    • Включите информацию о контроле качества и отслеживаемости для поддержки последующих клиентов.
    • Рекомендуйте настройки устройства (например, избегайте сверхвысокой мощности, которая может повысить температуру аэрозоля и образование побочных продуктов) и техническое обслуживание (частоту замены катушки) конечным пользователям / партнерам OEM.

    5.4 Послепродажный надзор и управление инцидентами

    • Поддерживать систему сбора отзывов потребителей, отчетов о нежелательных явлениях или жалоб на качество, связанных с ароматизаторами аэрозолей.
    • Установите протоколы для расследования любых инцидентов, потенциально связанных с ароматизаторами (например, необычное раздражение горла, отказ устройства, изменение запаха/цвета аэрозоля).
    • Установите пороговые значения для повторной оценки ароматизатора (например, при появлении новых токсикологических данных, обновлении нормативных требований или значительной частоте сообщений потребителей).
    • Задокументируйте процедуры корректирующих действий: измените формулировку вкуса, удалите ингредиент, скорректируйте уровни использования, обновите руководство для пользователей.

    6. Обзор и непрерывный мониторинг: обеспечение постоянного соответствия и совершенствования

    Модель оценки рисков – это не одноразовый документ; это должно бытьжизнь, подлежит пересмотру и обновлению по мере развития данных, технологий и правил.

    6.1 Периодическая повторная оценка

    • Через определенные промежутки времени (например, ежегодно) проверяйте досье об опасностях: появились ли новые данные по ингаляционной токсикологии ароматизирующего соединения?
    • Рассмотрите предположения о воздействии: изменилась ли технология устройств (более мощные устройства, более высокие температуры), что привело к увеличению воздействия?
    • Проверить тенденции поведения пользователей: изменения в демографии, моделях затяжек, новые вкусы, которые увеличивают частоту использования?
    • Оцените нормативные изменения: новые запреты на ароматизаторы, обновленные максимальные пределы, новые рекомендации по безопасности при вдыхании (например, см. раздел «Внимание регулирующих органов к ограничениям на ароматизаторы»).

    6.2 Управление данными и документация

    Ведите центральный «основной файл по безопасности вкуса», в котором отслеживается каждый ароматизатор/ингредиент:

    • Детали досье об опасностях
    • Параметры и результаты моделирования воздействия
    • Решение Министерства экологии или классификации рисков и любые реализованные меры контроля
    • Записи о производственных партиях, документация по обеспечению качества/CoA
    • Обратная связь после продажи, журналы инцидентов
    • Дата проверки и запланированная дата следующей проверки

    Такая документация необходима для внутреннего аудита, запросов клиентов, проверок со стороны регулирующих органов и комплексной проверки прозрачности цепочки поставок.

    6.3 Постоянное улучшение и инновации

    • Инвестируйте в сбор внутренних данных: химический состав аэрозолей вашего ароматизатора в ключевых типах устройств, измерение побочных продуктов, исследования воздействия на пользователей (где это возможно).
    • Изучите более безопасные вкусоароматические ингредиенты и смеси: стремитесь к использованию вкусовых химических веществ, подходящих для вдыхания, а не только для приема в пищу.
    • Сотрудничайте с исследовательскими институтами, отраслевыми ассоциациями и регулирующими органами, чтобы опережать возникающие проблемы (например, химическое термическое разложение, долгосрочная ингаляционная токсичность новых классов ароматизаторов).
    • Используйте модель оценки риска для обоснования маркетинговых заявлений (например, «более безопасный состав ароматизатора», «разработан для снижения количества побочных аэрозольных продуктов»), при условии, что заявления обоснованы и соответствуют требованиям.
    Четкая визуализация данных, показывающая матрицу рисков, которая объединяет уровень опасности и параметры воздействия для определения общей классификации риска для ароматизаторов для вейпов (приемлемый, контролируемый, неприемлемый). Эта диаграмма помогает понять процесс количественной оценки рисков в области безопасности жидкостей для электронных сигарет.

    Вот заголовок и SEO-элементы изображения:

    7. Собираем все вместе: сводка рабочего процесса модели

    Вот пошаговое описание того, как вы можете внедрить модель практической оценки рисков в процесс разработки вкуса:

    • Определите область действия и контекст: Определите целевой продукт (жидкость для электронных сигарет), профиль пользователя, типы устройств, регулирующие юрисдикции.
    • Идентификация опасностей: Составьте досье вкусоароматических ингредиентов, отметьте категории опасности.
    • Оценка воздействия: Смоделируйте пользовательские сценарии (типичные и часто используемые), воздействие при проглатывании и вдыхании.
    • Характеристика риска: Рассчитайте MoE или другие показатели риска, классифицируйте их как приемлемые/контролируемые/неприемлемые.
    • Смягчение и контроль: Выполнять разработку, производство, контроль качества, инструкции для пользователей и контроль надзора.
    • Обзор и мониторинг: Периодическая переоценка, обновление документации, постоянное улучшение.
    • Ворота принятия решений: Только если классификация риска находится в пределах приемлемого/контролируемого (с контролем), ароматизатор может быть разрешен к использованию; в противном случае требуется переформулирование или исключение.

    8. Практический пример (анонимно)

    Чтобы проиллюстрировать модель в действии, рассмотрим гипотетический сценарий разработки вкусовой смеси:

    Сценарий: Вы намерены выпустить на рынок аромат «Тропические фрукты и сливки» для системы солевой никотин с соотношением 50/50 PG/VG.

    Шаг 1: Область применения

    • Целевой потребитель: взрослый вейпер, потребление до 2 мл/день.
    • Устройство: pod-система на 20 Вт.
    • Юрисдикции: ЕС и США.

    Шаг 2: Идентификация опасностей

    • Ароматизатор включает сложный эфир (этилбутират), лактон (γ-окталактон) и производное ванили (ванилин). В литературе показано, что ванилин и этилмальтол (аналогичный класс) проявляют цитотоксичность при ингаляционном воздействии.
    • Ни один из ингредиентов не находится в известных списках запрещенных веществ, но ванилин может разлагаться до более реакционноспособных альдегидов при высокой температуре.

    Шаг 3: Оценка воздействия

    • Концентрация: эфир 4 мг/мл, лактон 2 мг/мл, ванилин 3 мг/мл → общий ароматизатор ~9 мг/мл.
    • Ежедневное применение: 2 мл/день → масса = 18 мг/день.
    • Принималась ингаляционная фракция абсорбции 0,5 → 9 мг/сут.
    • Масса тела 70 кг → 0,13 мг/кг в сутки.

    Шаг 4: Характеристика риска

    • Эталонный NOAEL при вдыхании для заменителя ванилина (при условии 20 мг/кг в день). МоЭ = 20/0,13 ≈ 154.
    • Внутренний порог MoE для вдыхания: 300 → это ниже порога → классифицируется какконтролируемый риск.
    • Флаг: опасность вдыхания ванилина + потенциальная деградация → требуются дополнительные меры контроля.

    Шаг 5: Смягчение последствий

    • Уменьшите концентрацию ванилина до 1,5 мг/мл и замените часть лактона альтернативой с меньшим риском.
    • Проведите тест на термостабильность катушки мощностью 20 Вт, чтобы убедиться в незначительном образовании реактивных побочных продуктов.
    • Обеспечение качества: Сертификат подлинности поставщика для лактона и сложного эфира, подтвердите класс USP/EP; тест на примеси тяжелых металлов.
    • Наклейка: «Только для взрослых», рекомендуемые настройки устройства 15–25 Вт, катушку меняйте каждые 2 недели.
    • Постмаркетинг: отслеживайте отзывы потребителей, типичные вкусовые характеристики.

    Шаг 6: Обзор

    • Обзор через шесть месяцев: проверьте, появились ли какие-либо новые данные по ингаляционной токсикологии аналогичных лактонов.
    • Соответствующим образом обновить досье; если потребление потребителями возрастает (например, 3 мл/день), повторите моделирование воздействия.

    Следуя этому рабочему процессу, вы получаете документированный и обоснованный процесс оценки рисков вашей вкусовой смеси.

    9. Преимущества и ценность модели для бизнеса

    Принятие этой модели оценки рисков дает заметные преимущества производителям ароматизаторов и разработчикам жидкостей для электронных сигарет:

    • Повышенная готовность регулирующих органов: Вы создаете структурированные досье в соответствии с регулирующими органами, такими как FDA (которое регулирует ароматизаторы для жидкостей для электронных сигарет как часть компонентов ENDS).
    • Снижение ответственности и повышение безопасности: Систематическая проверка опасностей и моделирование воздействия помогают избежать использования ароматизаторов с неприемлемым риском.
    • Прозрачность цепочки поставок: Документируя профили опасности/воздействия ароматизаторов и меры контроля, вы повышаете доверие клиентов и возможность проверки.
    • Конкурентное преимущество: Поставщики ароматизаторов, которые демонстрируют надежную оценку безопасности, воспринимаются производителями жидкостей для электронных сигарет и розничными торговцами как партнеры премиум-класса с низким уровнем риска.
    • Инновации: Благодаря структурированной модели вы сможете быстрее оценить новые возможности в области ароматизаторов, минимизировать время выхода на рынок, сохраняя при этом стандарты безопасности.

    10. Резюме и ключевые выводы

    • Специальная модель оценки рисков для ароматизаторов для вейпов имеет важное значение в современной нормативной среде и среде безопасности потребителей.
    • Модель состоит из шести этапов: масштаб → идентификация опасностей → оценка воздействия → характеристика риска → смягчение последствий и контроль → анализ и мониторинг.
    • Вкусоароматические ингредиенты могут представлять опасность при вдыхании, которая отличается от их пригодности для употребления в пищу (при проглатывании); требуется профессиональная комплексная проверка.
    • Моделирование воздействия должно отражать реалистичные сценарии использования; Путь вдыхания требует особого внимания.
    • Характеристика рисков с использованием Министерства экологии (или аналогичных показателей) позволяет принимать действенные решения (приемлемые/контролируемые/неприемлемые).
    • Стратегии смягчения последствий включают в себя выбор рецептуры, контроль производства и обеспечения качества, инструкции для пользователей и послепродажный надзор.
    • Непрерывный мониторинг гарантирует, что вы будете в курсе изменений в технологиях устройств, поведении пользователей или обновлениях нормативных требований.
    • Эта модель повышает безопасность продукции, соответствие нормативным требованиям и коммерческую жизнеспособность как для поставщиков ароматизаторов, так и для производителей жидкостей для электронных сигарет.

    Бутылки для ароматизаторов CUIGUAI

    Призыв к действию

    Если вы хотите обсудитьтехнический обмен, бесплатная выборочная оценкаили узнайте, как наша парфюмерная компания может поддержать ваши проекты по производству жидкостей для электронных сигарет с помощью полностью квалифицированных ароматизирующих смесей, пригодных для вдыхания, — свяжитесь с нами.

    🌐Веб-сайт[www.cuiguai.cли]

    💬WhatsApp:[+86 189 2926 7983]

    📩Электронная почта:[информация@Cuiguai.com]
    📞 Телефон:[+86 0769 8838 0789]

    Мы надеемся на сотрудничество с дальновидными партнерами в секторе ароматизаторов для жидкостей для электронных сигарет.

    В течение долгого времени компания стремилась помочь клиентам улучшить оценки продуктов и качество вкуса, снизить производственные затраты и настраивать образцы для удовлетворения потребностей в производстве и обработке различных пищевых отраслей.

    СВЯЗАТЬСЯ С НАМИ

  • Guangdong Unique Flavor Co., Ltd.
  • Телеграмма +86 189 2926 7983info@cuiguai.com
  • Комната 701, здание C, № 16, Восточная 1 -я дорога, Биньонг Нэнг, город Даоджо, город Дунгуан, провинция Гуандун
  • О НАС

    Сфера бизнеса включает в себя лицензированные проекты: производство пищевых добавок. Общие проекты: продажи пищевых добавок; производство ежедневных химических продуктов; Продажи ежедневных химических продуктов; Технические услуги, разработка технологий, технические консультации, обмен технологиями, передача технологий и продвижение технологий; Биологические исследования и разработки корма; Исследования и разработки подготовки промышленных ферментов; Косметика оптом; внутреннее торговое агентство; Продажи санитарных продуктов и одноразовых поставков медицинских услуг; Розничная торговля кухонными принадлежностями, санитарной посудой и ежедневными солнцами; продажи ежедневных предметов первой необходимости; Продажи продуктов питания (только продажи предварительно упакованных продуктов питания).

    Отправить запрос
    WhatsApp

    Запрос запроса